КАРБАЗОЛ
Навигацияга өтүү
Издөөгө өтүү
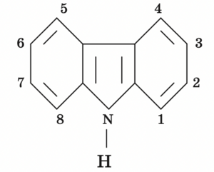
КАРБАЗО́Л , д и б е н з о п и р р о л,С12Н9N –гетероциклдүү бирикме; молекулалык салмагы 167,21; түссүз кристалл, эрүү t 238°С; кайноо t 354–355°С; сууда эрибейт, органикалык эриткичтерде жакшы эрийт. Пиррол шакекчесине мүнөздүү түстүү реакцияны берет, начар негиздик касиетке ээ. Кислоталарды таасир этүүдө туруксуз туздарды пайда кылат.

Галогендөөдө 3- ж-а 3–6 туундуларын, сульфирлөөдө 3-карбазолсульфо кислотаны же 1, 3, 6, 7- карбазолтетрасульфо кислотаны берет. Карбазол таш көмүр чайырынан, ошондой эле синтез жолу м-н аминдифенил, фенантрен ж. б-дан алынат. Карбазол боёк, дары-дармек, пластмасса, инсектициддерди алууда колдонулат.