АЛЬФА-АЖЫРОО: нускалардын айырмасы
imported>Dilde No edit summary |
imported>Dilde No edit summary |
||
| 1 сап: | 1 сап: | ||
[[File:АЛЬФА-АЖЫРОО_27.png | thumb | <math/>]] | [[File:АЛЬФА-АЖЫРОО_27.png | thumb | <math/>]] | ||
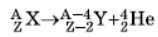
мында, ''X'' – баштапкы радиоактивдүү атом ядросунун символу, У- ажыроодон пайда болгон ядронун символу, ''Z -'' ядро зарядын белгилеген индекс, ал ядронун | '''АЛЬФА-АЖЫРОО''' – атом ядросунун өзүнөн-өзү радиоактивдүү ажыроосунда а-бөлүкчөнүн бөлүнүп чыгуусу. Аны төмөнкү схема м-н туюнтса болот: (формула сүрөттө)<br> | ||
символунун төмөн жагына, ал эми ''А'' – атомдук массанын индекси, ядро символунун өйдө жагына жазылат. А.-а-нун механизмы эки этаптан турат: 1) ядронун ичинде эки протон ж-а эки нейтрондун топтолушунан өзүнчө а-бөлүкчөнүн пайда болушу; 2) анын ядродон бөлүнүп, учуп чыгышы. Бул теорияны 1928-ж. Англияда Г. Герни м-н Э. Кондон иштеп чыгышкан. Ядронун өзү а-бөлүкчө ж. б. нуклондор үчүн потенциалдык тоскоол болуп эсептелет. Бирок, а-бөлүкчөнүн толкундук касиети күчтүү болгондуктан тоскоолду аралап өтүп, ядродон бөлүнүп чыгат. Элементтердин мезгилдик системасында коргошундан кийин жайгашкан 200дөн ашык α-радиоактивдүү ядролор белгилүү. | мында, ''X'' – баштапкы радиоактивдүү атом ядросунун символу, У- ажыроодон пайда болгон ядронун символу, ''Z -'' ядро зарядын белгилеген индекс, ал ядронун символунун төмөн жагына, ал эми ''А'' – атомдук массанын индекси, ядро символунун өйдө жагына жазылат. А.-а-нун механизмы эки этаптан турат: 1) ядронун ичинде эки протон ж-а эки нейтрондун топтолушунан өзүнчө а-бөлүкчөнүн пайда болушу; 2) анын ядродон бөлүнүп, учуп чыгышы. Бул теорияны 1928-ж. Англияда Г. Герни м-н Э. Кондон иштеп чыгышкан. Ядронун өзү а-бөлүкчө ж. б. нуклондор үчүн потенциалдык тоскоол болуп эсептелет. Бирок, а-бөлүкчөнүн толкундук касиети күчтүү болгондуктан тоскоолду аралап өтүп, ядродон бөлүнүп чыгат. Элементтердин мезгилдик системасында коргошундан кийин жайгашкан 200дөн ашык α-радиоактивдүү ядролор белгилүү. | ||
11:02, 22 Ноябрь (Жетинин айы) 2022 -деги абалы

АЛЬФА-АЖЫРОО – атом ядросунун өзүнөн-өзү радиоактивдүү ажыроосунда а-бөлүкчөнүн бөлүнүп чыгуусу. Аны төмөнкү схема м-н туюнтса болот: (формула сүрөттө)
мында, X – баштапкы радиоактивдүү атом ядросунун символу, У- ажыроодон пайда болгон ядронун символу, Z - ядро зарядын белгилеген индекс, ал ядронун символунун төмөн жагына, ал эми А – атомдук массанын индекси, ядро символунун өйдө жагына жазылат. А.-а-нун механизмы эки этаптан турат: 1) ядронун ичинде эки протон ж-а эки нейтрондун топтолушунан өзүнчө а-бөлүкчөнүн пайда болушу; 2) анын ядродон бөлүнүп, учуп чыгышы. Бул теорияны 1928-ж. Англияда Г. Герни м-н Э. Кондон иштеп чыгышкан. Ядронун өзү а-бөлүкчө ж. б. нуклондор үчүн потенциалдык тоскоол болуп эсептелет. Бирок, а-бөлүкчөнүн толкундук касиети күчтүү болгондуктан тоскоолду аралап өтүп, ядродон бөлүнүп чыгат. Элементтердин мезгилдик системасында коргошундан кийин жайгашкан 200дөн ашык α-радиоактивдүү ядролор белгилүү.