АНАЛИЗДИК ГЕОМЕТРИЯ: нускалардын айырмасы
imported>Kadyrm м (1 версия) |
imported>Kadyrm м (1 версия) |
||
| 30 сап: | 30 сап: | ||
сызыктан турган'' Охуг ''декарттык тик бурчтуу | сызыктан турган'' Охуг ''декарттык тик бурчтуу | ||
координаталар системасы түзүлөт. Тегиздиктин | координаталар системасы түзүлөт. Тегиздиктин | ||
М чекитинин координаталары:'' х ''– абсцисса,'' | <notkey>М</notkey> чекитинин координаталары:'' х ''– абсцисса,'' | ||
у – ''ордината,'' г – ''аппликата сандары м-н аныкталып,'' М(х, у, г) ''түрүндө жазылат. Мейкиндикте тегиздик'' Ax+By+Cz+D=0 ''теңцемеси м-н | у – ''ордината,'' г – ''аппликата сандары м-н аныкталып,'' М(х, у, г) ''түрүндө жазылат. Мейкиндикте тегиздик'' Ax+By+Cz+D=0 ''теңцемеси м-н | ||
аныкталат. Биринчи тартиптеги алг. беттер бир | аныкталат. Биринчи тартиптеги алг. беттер бир | ||
19:20, 4 Май (Бугу) 2022 -деги абалы
– геометриянын
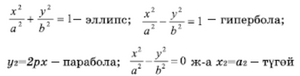
объекттерди (түз сызык, тегиздик, ийри сызык ж-а экинчи тартиптеги беттер) координаталар методунун негизинде алг. түшүнүктөргө таянып изилдөөчү бөлүмү. Координата ж-а элементардык алгебранын ыкмалары – А. г-нын негизги изилдөө булактары. Координата ыкмасынын пайда болушу 17-к-да астрономия, механика ж-а техниканын дүркүрөп өсүшүнө тыгыз байланыштуу болгон. Р. Декарт өзүнүн «Геометриясында» (1637) бул ыкманы так ж-а толук баяндаган. Бул ыкманын негизги идеялары анын замандашы П. Фермага белгилүү болгон. А. г-нын өнүгүшү Г. Лейбниц, И. Ньютон, өзгөчө Л. Эйлердин эмгектери м-н байланыштуу. А. г-ны Ж. Лагранж механикага, ал эми Г. Монж дифференциалдык геометрияга колдонушкан. Учурда А. г-нын ыкмалары математика, механика, физика ж. б. илимдердин түрдүү тармактарында кеңири колдонулууда. Тегиздиктеги координаталар ыкмасынын негизги идеясы – сызыктын геом. касиеттери анализдик ж-а алг. жол м-н анын F(x, у)=О теңдемесинин касиеттерин окуп-үйрөнүү аркылуу аныкталат. Тегиздиктеги А. г-да тегерек конустун тегиздик м-н кесилишинен пайда болгон эллипс, гипербола, параболанын геом. касиеттери изилденет. Бул сызыктар табият таанууда, техниканын маселелеринде көп кездешет. Тегиздиктеги А. г-да биринчи ж-а экинчи тартиптеги алг. сызыктар изилденет. Биринчи тартиптеги сызыктар түз сызыктар болушат ж-а тескерисинче, ар бир түз сызык биринчи даражадагы алг. теңдеме Ах+Ву+С=0, экинчи тартиптеги ийри сызыктар Ax2+Bxy+Cy2+Dx+Ey+L=0 теңцемеси м-н аныкталат. Декарттык тик бурчтуу координаталар системасын тандоо аркылуу сызыктын тендемесин эң жөнөкөй түргө келтирүү ж-а аны изилдөө сызыктарды изилдөөнүн ж-а класстарга бөлүүнүн негизги методу болуп саналат. Ушундай жол м-н экинчи тартиптеги каалаган сызыктын теңцемеси төмөнкү жөнөкөй теңдемелердин бирине келтирилиши мүмкүн:

түз сызыктар. Мейкиндиктеги А. г-да тегиздиктеги сыяктуу эле өз ара перпендикуляр үч түз
сызыктан турган Охуг декарттык тик бурчтуу
координаталар системасы түзүлөт. Тегиздиктин
<notkey>М</notkey> чекитинин координаталары: х – абсцисса,
у – ордината, г – аппликата сандары м-н аныкталып, М(х, у, г) түрүндө жазылат. Мейкиндикте тегиздик Ax+By+Cz+D=0 теңцемеси м-н
аныкталат. Биринчи тартиптеги алг. беттер бир
гана тегиздик деп түшүндүрүлөт. Экинчи тартиптеги беттер төмөнкү тендеме м-н аныкталат:
Ax2+By2+Cz2+Dxy+Eyz+Fxz+Gx+Hy+Mz+N=0.
Бул беттерди изилдөөнүн ж-а классификациялоонун негизи ыкмасы – алардын тендемелери
кыйла жөнөкөй декарттык тик бурчтуу коор-
динаталар системасын тандоо ж-а ушул жөнөкөй теңдемени изилдөө. Экинчи тартиптеги бет-
тердин негизгилери:

чи тартиптеги бул беттер механикада, катуу
телолор физикасында, теориялык физикада,
инж. иштерде ж. б. кеңири колдонулат.
Ад.: Александров П. С. Лекции по аналитической
геометрии. М., 1968; Ильин В. А., Позняк Э. Г. Аналитическая геометрия. М., 1967.
Б. Э. Канетов.