АНЫКТАЛБАГАН КОЭФФИЦИЕНТТЕР МЕТОДУ: нускалардын айырмасы
433-496>KadyrM No edit summary |
imported>Kadyrm м (1 версия) |
(Айырма жок)
| |
08:16, 6 Июнь (Кулжа) 2022 -деги абалы
– туюнтманын жалпы түрү алдын ала белгилүү болгон учурдагы анын белгисиз коэффтерин табуу ыкмасы. Р(х) ж-а Q(x) алг. көп мүчөлөрдөн турган
Failed to parse (SVG (MathML can be enabled via browser plugin): Invalid response ("Math extension cannot connect to Restbase.") from server "https://wikimedia.org/api/rest_v1/":): {\displaystyle Q(x)/P(x)/math> түрүндөгү дурус бөлчөгүн (алымынын даражасы бөлүмүнүкүнөн кичине) чектүү сандагы жөнөкөй бөлчөктөрдүн суммасы <br> <math> Формула 5}

түрүндө туюнтууга болот, мында А,В,С, a,p,q чыныгы сандар ж-а х2 + рх + q квадраттык үч мөчү
сү чыныгы тамырга ээ болбойт. Мис.,
Failed to parse (SVG (MathML can be enabled via browser plugin): Invalid response ("Math extension cannot connect to Restbase.") from server "https://wikimedia.org/api/rest_v1/":): {\displaystyle <br> 2x^2-3/(x(x^2-4)<br> }
рационалдык туюнтмасы
Failed to parse (SVG (MathML can be enabled via browser plugin): Invalid response ("Math extension cannot connect to Restbase.") from server "https://wikimedia.org/api/rest_v1/":): {\displaystyle <br> A/x+B/(x-2)+C/(x+2)<br> }
дөгү бөлчөктөрдүн суммасына ажырайт. А, В, Сны табуу үчүн эки туюнтманы барабарлап
Failed to parse (SVG (MathML can be enabled via browser plugin): Invalid response ("Math extension cannot connect to Restbase.") from server "https://wikimedia.org/api/rest_v1/":): {\displaystyle <br> (2x^2-3)/x(x^2-4) =A/x+B/(x-2)+C/(x+2)<br> }
ЖалПЫ 6ӨЛҮМДӨН Ку-
тулуп, окшош мүчөлөрүн топтоп, жөнөкөйлөштүргөндөн кийин 2х2 -3 = (А + В + С)х2+ 2(В -С)х - 4А түрүнө келет. Бул барабардык хтин
бардык маанилеринде туура, ошондуктан х тин
бирдей даражага ээ болгон мүчөлөрүнүн коэфф-
тери барабар болот. Анда:
Failed to parse (SVG (MathML can be enabled via browser plugin): Invalid response ("Math extension cannot connect to Restbase.") from server "https://wikimedia.org/api/rest_v1/":): {\displaystyle Формула 6.1}

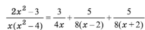
системасын чыгарып А = 3/4, В' = 5/8, С = 5/8 маанилерин табууга болот. Берилген туюнтманын ажыратылып жазылышы:Failed to parse (SVG (MathML can be enabled via browser plugin): Invalid response ("Math extension cannot connect to Restbase.") from server "https://wikimedia.org/api/rest_v1/":): {\displaystyle Формула 6}

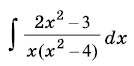
А.к.м. дифференциалдык теңдемелерди чыгарууда, рационалдык функцияларды интегралдоодо, көп мүчөнү көбөйтүүчүлөргө ажыратууда, сандык методдордо ж. б. маселелерде кеңири колдонулат. Мис., :Failed to parse (SVG (MathML can be enabled via browser plugin): Invalid response ("Math extension cannot connect to Restbase.") from server "https://wikimedia.org/api/rest_v1/":): {\displaystyle Формула 7 }

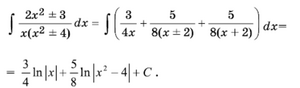
интегралынын жогоркудай ажыралышы пайдаланылганда, төмөнкүдөй интегралданат: :Failed to parse (SVG (MathML can be enabled via browser plugin): Invalid response ("Math extension cannot connect to Restbase.") from server "https://wikimedia.org/api/rest_v1/":): {\displaystyle Формула 8}

Ад.: Фихтенголъц Г. М. Курс дифференциального и
интегрального исчисления. Т. 2.М., 1969; Смирнов В. И.
Курс высшей математики. М., 1974.
Б. Э. Назаркулова.